易特艾弗网络科技

快讯

散热器怎么选用

时间:2020-09-05 23:24 浏览:

  一、热阻网络
散热设计的本质是让热流沿着最低热阻的路径散到空气中,典型强迫的风冷的热流路径(此处忽略PCB散热)为芯片结(发热源)—芯片上壳—导热界面材料—散热器—空气热沉。芯片结到空气的总热阻可表示为:Rja= Rjc+Rcs +Rsa。
式中:Rja —总热阻,℃/W;
Rjc—器件的内热阻,℃/W;
Rcs—器件与散热器界面间的界面热阻,℃/W;
Rsa—散热器热阻,℃/W;
Rjc取决于芯片封装,在芯片规格书中可查询到,Rcs是界面热阻,取决于导热材料的导热系数和厚度,Rcs=δ/(λA)
式中:δ—界面材料厚度,m;
λ—界面材料导热系数,W/(mK)
A—接触面积,m2
 

   散热器热阻与散热器结构、风速关系较大,因此散热器的选用就很关键了。

   二、散热器选择
根据厂家提供的热阻网络图,可以确定出散热器的最大热阻。按照散热器的工作条件(自然冷却或强迫风冷),Rsa 和热功耗,查散热器的热阻曲线,曲线上查出的值小于计算值时,就找到了合适的热阻散热器及其对应的风速,再查询该散热器的流阻曲线获得压降△P。

散热器怎么选用

散热器热阻曲线

   三、计算流量
计算流经散热器流量:
Q=AV
式中:Q—流量
A—风量流经散热器截面积
V—风量流经散热器风速
四、风扇选择
根据计算获得的Q和△P,选择风扇PQ曲线内包含Q与△P(风扇静压)点即可,如风扇PQ曲线图所示。

散热器怎么选用

风扇PQ曲线

   Ⅰ、Ⅱ、Ⅲ三条曲线分别代表不同系统的流阻特性曲线。系统特性曲线与风扇的特性曲线的交点就是该风扇的工作点,推荐系统工作在C 点,在该点风扇工作稳定。风扇选型工作点在实际风扇曲线下方即可满足要求。
五、案例
某芯片功耗50w,平面尺寸25mm*25mm,Rjc为0.5K/W,结温110℃,工作环境40℃,导热界面材料为导热硅脂,涂抹厚度0.1mm,导热系数3W/mK。
1.总热阻Rja=(110-50)/50 =1.2K/W;
2.导热界面热阻Rcs=0.1*1000/(3*25*25*)=0.05k/W;
3.散热器热阻Rsa=Rja-Rjc-Rcs=1.2—0.5-0.05=0.65K/W;
4.假定散热器长度为100mm,根据上面的散热器热阻曲线图,风速为1m/s时,热阻为0.43K/W,满足要求;
5.流过散热器流量Q=1*0.004=0.004m3/s=8.5cfm;
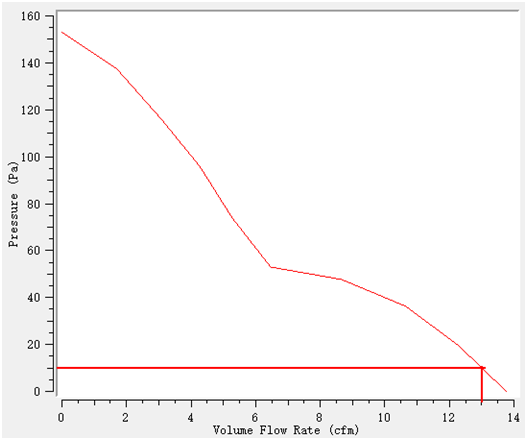
6.假定该散热器1m/s风速下的压降为10Pa;
7.在下图风扇特性曲线可看出,当风扇静压为10Pa时,风量达到13cfm,大于所需的8.5cfm,满足设计要求。
散热器怎么选用

风扇特性曲线